地面水水质变化的预测方法,可分为四大类:数学模式法、物理模型法、类比分析法和专业判断法。
常用的河流水质模式及其选择见下表:
|
河流及污染物特征 |
适用的水质模式 |
|
1.持久性污染物(连续排放) |
|
|
完全混合河段 |
河流完全混合模式 |
|
横向混合过程段 |
⑴河流二维稳态混合模式(直角坐标系) |
|
⑵河流二维稳态累积流量模式(累积流量坐标) | |
|
沉降作用明显河段 |
河流一维稳态模式,沉降作用近似为dc/dt=-K3c(K3为沉降速率) |
|
2.非持久性污染物(连续排放) |
|
|
完全混合河段 |
河流一维稳态模式,一级动力方程dc/dt=-K1c(K1为降解速率) |
|
横向混合过程段 |
⑴河流二维稳态混合衰减模式(直角坐标系) |
|
⑵河流二维稳态累积流量衰减模式(累积流量坐标) | |
|
沉降作用明显河段 |
河流一维稳态模式,沉降作用近似为dc/dt=-(K1+K3)c |
|
3.溶解氧 |
河流一维DO-BOD耦分模式(如S-P模式) |
|
4.瞬时源(或有限时段源) |
|
|
中、小河流 |
河流一维准稳态模式(流量定常—污染负荷变化) |
|
大型河流 |
河流二维准稳态模式 |
【水质模型的空间维数】:①大多数的河流水质预测评价采用一维稳态模型。②大中型河流中的废水排放,横向浓度梯度(变化)较明显,需要采用二维模型进行预测评价。③一般不采用三维模型。④在混合过程段下游河段(x>L),可以采用一维模型;在混合过程段(x≤L),应采用二维模型。⑤不考虑混合距离的重金属污染物、部分有毒物质及其他保守物质的下游浓度预测,可采用零维模型。⑥对于有机物降解性物质,当需要考虑降解时,可采用零维模型分段模型,但计算精度和实用性较差,最好用一维模型求解。
混合过程段长度的计算公式:L=(0.4B-0.6a)Bu/[(0.058H+0.0065B)(gHi)½]
式中:L—混合过程段长度,m;B—河流宽度,m;a—排放口距岸边的距离,m;u—河流断面平均流速,m/s;H—平均水深,m;g—重力加速度,9.81 m/s2;i—河流坡度。
河流水质数学模式预测方法:
1.河流稀释混合模式
⑴点源:河水、污水稀释混合方程:c= (cpQp+chQh)/(Qp+Qh)
式中:c—污水与河水混合后的浓度,mg/L;cp—排放口处污染物的排放浓度,mg/L;Qp—排放口处的废水排放量,m3/s。ch—河流上游某污染物的浓度,mg/L;Qh—河流上游的流量,m3/s。
⑵非点源方程:对于沿程有非点源(面源)分布入流的情形,可按下式计算河段污染物的浓度:
c=(cpQp+chQh)/Q+Ws/86.4Q ;Q=Qp+Qh+Qsx/xs
式中:Ws—沿程河段内非点源汇入的污染物总负荷量,kg/d;Q—下游x距离处河段流量,m3/s;Qs—沿程河段内非点源汇入的水量,m3/s;xs—控制河段总长度,km;x—沿程距离(0≤x≤xs),km。
⑶考虑吸附态和溶解态污染指标耦合模型。当需要区分溶解态和吸附态的污染物在河流水体中的指标耦合,应引入分配系数(Kp)。其物理意义是在平衡状态下,某种物质在固液两相间的分配比例。式中:Kp =X/c c—溶解态浓度,mg/L;X—单位质量固体颗粒吸附的污染物质量,mg/mg;Kp—分配系数,L/mg。对于有毒有害污染物,在已知其在水体中的总浓度的情况下,溶解态的浓度计算:c= cT/(1+KpS×10-6)
式中:c—溶解态浓度,mg/L;cT—总浓度,mg/L;S—悬浮固体浓度,mg/L;Kp—分配系数,L/mg。
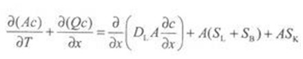
2.河流的一维稳态水质模式。对于溶解态污染物,当污染物在河流横向方向上达到完全混合后,描述污染物的输移、转化的微分方程为:

式中:A—河流横断面面积:Q—河流流量;c—水质组分浓度;DL—综合的纵向离散系数;SL—直接的点源或非点源强度:SB—上游区域进入的源强; SK—动力学转化率,正为源,负为汇。
设定条件:稳态(∂/∂t=0),忽略纵向离散作用,上述微分方程的解:c=c0exp[-Kx/(86400u)] (6-7)
式中:c0—初始浓度,按点源河流完全混合模式求得,mg/L;u—河流流速,m/s;x—从计算初始点到下游计算断面的距离,m;c—计算断面的污染物浓度,mg/L。
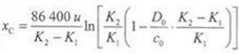
3.Streeter-Phelps模式。是研究河流溶解氧与BOD关系的最早的、最简单的耦合模型。它的基本假设为:河流为一维恒定流,污染物在河流横断面上完全混合;氧化和复氧都是一级反应,反应速率常数是定常的,氧亏的净变化仅是水中有机物耗氧和通过液-气界面的大气复氧的函数。Streeter-Phelps模式:
c=c0exp[-K1x/(86400u)]
D=[K1c0/(K2-K1)]{exp[-K1x/(86400u)]-exp[-K2x/(86400u)]}+D0exp[-K2x/(86400u)] (6-8)
其中,c0= (cpQp+chQh)/(Qp+Qh) (6-9) D0= (DpQp+DhQh)/(Qp+Qh) (6-10)
式中:Qp—废水排放量,m3/s;Qh—河流流量,m3/s;D—亏氧量即DOf-DO,mg/L;D0—计算初始断面亏氧量,mg/L;Dp、Dh—污水、上游来水中溶解氧亏值,mg/L;u—河流断面平均流速,m/s;X—沿程距离,m;c—沿程浓度,mg/L。DO、DO f—溶解氧、饱和溶解氧浓度,mg/L;K1、K2—耗氧、复氧系数,1/d。 临界氧亏点xC的位置为:
