首页
论坛
环境影响评价师
首页
资讯
政策动态
考试大纲
考试报名
成绩查询
证书领取
准考证打印
科目
法律法规
技术导则与标准
技术方法
案例分析
辅导
模拟试题
历年真题
辅导资料
经验心得
论坛
当前位置:
首页
>
注册环评师
>
科目
>
技术方法
>
复习辅导
2011年环境影响评价技术方法精选练习七十六
国和网校
[2011-02-25 13:50:00 ] 【
大
中
小
】
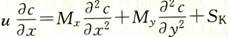
76、下列水质模型正确的是()。
A.顺直均匀河流二维稳态水质基本方程:
B.用累积流量坐标表示的h维水质方程;
C.连续点源的河流二维水质模式(离岸排放,忽视远岸反射作用):
D.连续点源的河流二维水质模式(在岸边排放,忽视对岸反射作用):
标准答案: a, b
上一篇:
2011年环境影响评价技术方法精选练习七十七
下一篇:
2011年环境影响评价技术方法精选练习七十五
相关推荐
备考环境影响评价工程师《技术方法》课后习题(九)
环境影响评价师考试《环境影响评价案例分析》精讲:中华
2016年环境影响评价师《技术导则与标准》知识点:浸出液
环境影响评价师考试《环境影响评价技术方法》精讲:大气
2016环境影响评价师《生态环境保护标准目录》自然保护
2016年环境影响评价师《技术导则与标准》知识点:填埋废
环境影响评价师考试《环境影响评价技术方法》精讲:费用
环境影响评价师考试试题《环境影响评价案例分析》答案
环境影响评价师考试《环境影响评价案例分析》精讲:工程
环境影响评价师考试《环境影响评价案例分析》精讲:中华
报考指南
考试简介
政策动态
考试报名
考试大纲
成绩查询
证书领取
备考经验
准考证打印
考试技巧
编辑推荐
环境影响评价师考试《环境影响评价技术方法
环境影响评价师技术方法考点知识:一级评价项
2015环境影响评价师污水处理技术考点答疑(8
2013年环境影响评价师技术方法考点复习九
2013年环境影响评价师考试知识点简答题
2013年环境影响评价师考试技术方法辅导4
2011年环境影响评价师考试模拟练习(17)
2011年环境影响评价技术方法精选练习八十一
2011年环境影响评价技术方法自测试题(11)
2011年环境影响评价师]综合辅导知识点汇集9
复习辅导
模拟试题
历年真题
·
开发区区域环境影响评价技术导则
·
建设项目环境风险评价技术导则
·
规划环境影响评价技术导则
·
环境质量标准——污染物排放标准
·
环境质量标准——土壤环境质量标准
·
环境质量标准——城市区域环境振动标准
·
环境影响评价技术导则—声环境
·
环境质量标准——城市区域环境噪声标准
·
环境质量标准—海水水质标准
·
中华人民共和国大气污染防治法
·
2015年注册环境影响评价师《法律法规》复习
·
2015年注册环境影响评价师《法律法规》复习
·
2015年注册环境影响评价师《法律法规》复习
·
2015年注册环境影响评价师《法律法规》复习
·
2015年环境影响评价师《法律法规》练习题附
·
2015年环境影响评价师《法律法规》练习题附
·
2015年环境影响评价师《法律法规》课后练习
·
2015年环境影响评价师《法律法规》课后练习
·
2015年环境影响评价师《法律法规》课后练习
·
2015年环境影响评价师《法律法规》课后练习
·
2011环境影响评价师:案例分析真题汇编(1)
·
2011环境影响评价师:案例分析真题汇编(3)
·
2011环境影响评价师:案例分析真题汇编(4)
·
2011环境影响评价师:案例分析真题汇编汇总
·
2010年环境影响评价师考试环境影响评价案例
·
2007年环境影响评价师考试环境影响评价案例
·
2006年环境影响评价师考试环境影响评价案例
·
2008年环境影响评价师考试环境影响评价案例
·
2009年环境影响评价师考试环境影响评价案例
·
2011年环境影响评价师考试环境影响评价案例
热门点击
·
2016年广东环境影响评价师考试报名时间预计
·
2015年注册环境影响评价师《法律法规》复习
·
安徽省人事考试网2016年安徽环境影响评价工
·
广西2015年环境影响评价师考试合格标准公告
·
辽宁2014年环境影响评价工程师考试网上缴费
·
2015年注册环境影响评价师《法律法规》复习
·
2015年注册环境影响评价师《法律法规》复习
·
2016年广东环境影响评价师报名入口
·
广东2015年环境影响评价师考试报考费用已公
·
2015年内蒙古环境影响评价师考试合格标准