二.河流水质数学模式预测方法(掌握)
(1)河流稀释混合模式
①点源(会计算)
C= cpQp+chQh/Qp+Qh
式中c—一完全混合的水质浓度,mg/L;
Qp——上游来水设计水量,m3/s;
Cp——设计水质浓度,mg/L;
Qh——污水设计流量,m3/s;
Ch———设计排放浓度,mg/L。
例题:上游来水COD(p) =14.5mg/L,Qp=8.7m3/s;污水排放源强COD(h)=58 mg/L, Qh=1.1m3/s.
如忽略排污口至起始断面间的水质变化,且起始断面的水质分布均匀,则起始断面的CODcr浓度是?
解析:按公式C= cpQp+chQh/Qp+Qh
=[14.5×8.7)+(58×1)]/(8.7+1)=19
②非点源

式中Ws——沿程河段内非点源汇人的污染物总负荷量,kg/d;
Q——下游x距离处河段流量,m3/s;
Qs——沿程河段内非点源汇人的污染物总负荷量,m3/s;
xs——控制河段总长度,km;
x——沿程距离,km。
③考虑吸附态和溶解态污染指标耦合模型

式中c——-溶解态浓度,mg/L;
X——单位质量固体颗粒吸附的污染物质量,mg/kg;
Kp—一分配系数,L/mg。
对于有毒有害污染物:
式中 cT——总浓度,mg/L;
S——悬浮固体浓度,mg/L
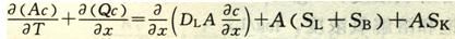
(2)河流的一维稳态水质模式

式中A——-河流横断面面积;
c——水质组分浓度;
Q——河流流量;
DL————综合的纵向离散系数;
SL——直接的点源或非点源强度;
SB——上游区域进人的源强;
SK——-动力学转化率。