第 1 题 (不定项选择题)
《建设项目竣工环境保护验收管理办法》明确将建设项目分为()。
A.以第一、第二产业影响为主的项目 B.以污染排放为主的项目
C.以生态影响为主的项目 D.以第三产业影响为主的项目
正确答案:B,C,
第 2 题 (不定项选择题)
建设项目竣工环境保护验收重点的依据主要包括( )。
A.国家相关的产业政策及清洁生产要求项目
B.国家法律法规、行政规章及规划确定的敏感区
C.环境影响评价文件及其批复规定应釆取的各项环境保护措施,以及污染物排放、敏感区域保护、总量控制要求
D.项目可研、批复以及设计文件确定的项目建设规模、内容、工艺方法及与建设项目有关的各项环境设施
E.公众调查时,当地居民要求应采取的各项环境保护措施
正确答案:A,B,C,D,
第 3 题 (不定项选择题)
建设项目竣工环境保护验收时,核查验收范围应包括( )。
A.核查工程组成、辅助工程、公用部分等
B.核实验收标准
C.核查周围是否存在环境保护敏感区
D.核实该项目环境保护设施建成及环保措施落实情况
正确答案:A,C,D,
第 4 题 (不定项选择题)
建设项目竣工环境保护验收达标的主要依据是( )。
A.生产安全达标 B.污染物达标排放
C.环境质量达标 D.总量控制满足要求
正确答案:B,C,D,
第 5 题 (不定项选择题)
建设项目竣工环境保护验收的重点是( )。
A.核查验收环境管理 B.核实验收标准
C.核査验收工况 D.核查验收监测(调查)结果
E.核查验收范围
正确答案:A,B,C,D,E,
第 6 题 (不定项选择题)
下列哪些内容属建设项目竣工环境保护验收的重点?( )
A.验收现场检查 B.核查周围环境 C.核查生产安全
D.核查验收工况 E.验收结论
正确答案:A,D,E,
第 7 题 (不定项选择题)
建设项目竣工环境保护验收监测与调查标准的选用原则包括()。
A.地方环境保护行政主管部门有关环境影响评价执行标准的批复以及下达的污染物排放总量控制指标
B.环境监测方法应选择与环境质量标准、排放标准相配套的方法
C.综合性排放标准优先行业排放标准执行
D.建设项目环保初步设计中确定的环保设施设计指标
E.国家、地方环境保护行政主管部门对建设项目环境影响评价批复的环境质量标准和排放标准
正确答案:A,B,D,E,
第 8 题 (不定项选择题)
建设项目竣工环境保护验收时,对大气有组织排放的点源,应对照行业要求,考核()。
A.最高允许排放浓度 B.最高允许排放速率
C.监控点与参照点浓度差值 D.周界外最高浓度点浓度值
正确答案:A,B,
第 9 题 (不定项选择题)
建设项目竣工环境保护验收监测与调查的主要工作内容包括( )。
A.环境保护敏感点环境质量的监测 B.污染物达标排放监测
C.环境保护设施运行效果测试 D.环境保护管理检查
E.生态调查的主要相关内容
正确答案:A,B,C,D,E,
第 10 题 (不定项选择题)
建设项目竣工环境保护验收时,属于污染物达标排放监测的内容是()。
A.建设项目的无组织排放
B.各种废水、废气处理设施的处理效率
C.国家规定总量控制污染物指标的污染物排放总量
D.排放到环境中的各种有毒工业固(液)体废物及其浸出液
E.棑放到环境中的各种废气、废水
正确答案:A,C,D,E,
第 11 题 (单项选择题)
重大危险源是指长期或短期生产、加工、运输、使用或贮存危险物质,且危险物质的数量()临界量的功能单元。
A.等于 B.等于或超过 C.超过 D.低于
正确答案:B,
第 12 题 (单项选择题)
对于某种或某类危险物质规定的数量,若功能单元中物质数量等于或超过该数量,则该功能单元定为()。
A.非重大危险源 B.一般危险源 C.重大危险源 D.危险源
正确答案:C,
第 13 题 (单项选择题)
功能单元是指至少应包括一个(套)危险物质的主要生产装置、设施(贮存容器、管道等)及环保处理设施,或同属一个工厂且边缘距离()的几个(套)生产装置、设施。
A.大于500m B.小于500m C.小于800m D.大于800m
正确答案:B,
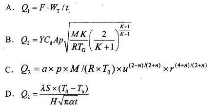
第 14 题 (单项选择题)
下列公式( )是用来计算液体泄漏速率的。

正确答案:A,
第 15 题 (单项选择题)

正确答案:B,
第 16 题 (单项选择题)
下列公式( )是用来计算两相流泄漏速度的。

正确答案:C,
第 17 题 (单项选择题)
最大可信事故是指在所有可预测的概率( )的事故中,对环境(或健康)危害最严重的重大事故。
A.为零 B.不为零 C.大于1 D.大于或等于1
正确答案:B,
第 18 题 (单项选择题)
下列公式( )是用来计算闪蒸蒸发量的。

正确答案:A,
第 19 题 (单项选择题)
《建设项目环境风险影响评价技术导则》(HJ/T169—2004)推荐最大可信事故概率的确定方法是()。
A.加权法 B.故障树分析法
C.因素图法 D.事件树分析法
正确答案:D,
第 20 题 (单项选择题)
生产过程潜在危险性识别是根据建设项目的生产特征,结合物质危险性识别,对项目功能系统划分功能单元,按一定的方法确定潜在的()。
A.危险单元或重大危险源 B.危险单元及重大危险源
C.危险单元 D.重大危险源
正确答案:B,
第 21 题 (不定项选择题)
渗透系数与哪些因素有关?( )
A.粒度成分 B.颗粒排列
C.流体的黏滞性 D.颗粒形状
正确答案:A,B,C,D,
第 22 题 (不定项选择题)
地下水的污染途径类型有( )。
A.间歇入渗型 B.连续入渗型
C.越流型 D.经流型
正确答案:A,B,C,D,
第 23 题 (不定项选择题)
防止污染物进入地下水含水层的主要措施有( )。
A.防止土壤污染 B.工矿企业的合理布局
C.严禁用渗井排放污水 D.合理选择废物堆放场所
E.固体废物堆放场底应做防渗处理
正确答案:A,B,C,D,E,
第 24 题 (不定项选择题)
下列哪些措施可以防止污染地下水?( )
A.限制地下水开采 B.建立卫生防护带
C.进行地下水水质动态监测 D.减少“三废”排放量
E.利用工程措施预防
正确答案:A,B,C,D,E,
第 25 题 (不定项选择题)
地下水污染物的防治措施有( )。
A.地下水分层开采 B.划定饮用水地下水源保护区
C.工程防渗措施 D.合理规划布局
E.改进生产工艺
正确答案:A,B,C,D,E,
第 26 题 (不定项选择题)
地下水污染物的清除与阻隔措施有( )。
A.地下水分层开采 B.屏蔽法
C.抽出处理法 D.地下反应墙
正确答案:B,C,D,
第 27 题 (不定项选择题)
在声环境预测过程中遇到的声源往往是复杂的,需根据( )把声源简化成点声源,或线声源,或面声源。
A.声源的地理位置 B.声源的性质
C.预测点与声源之间的距离 D.设备的型号、种类
正确答案:B,C,
第 28 题 (不定项选择题)
在下列( )情况下,声源可当做点声源处理。
A.预测点离开声源的距离比声源本身尺寸大得多时
B.声源中心到预测点之间的距离超过声源最大几何尺寸2倍时
C.声波波长远远小于声源几何尺寸
D.声波波长远远大于声源几何尺寸
正确答案:A,B,D,
第 29 题 (不定项选择题)
对于等声级线图绘制,正确的说法是( )。
A.等声级线的间隔不大于5 dB
B.等声级线的间隔不大于10dB
C.对于Leq,最低可画到35 dB,最高可画到75dB的等声级线
D.对于 WECPNL,—般应有70dB、75dB、80dB,85dB的等值线
E.对于Leq, —般需对应项目所涉及的声环境功能区的昼夜间标准值要求
正确答案:A,C,E,
第 30 题 (不定项选择题)
据《环境影响评价技术导则一生态影响》,下列哪些图件不属于生态影响二级评价中的基本图件。()
A.地表水系图 B.典型生态保护措施平面布置示意图
C.植被类型图 D.生态监测布点图
E.土地利用现状图
正确答案:C,D,