56、 为了说明地下水的含水层的径流强度,通常用()来度量。
A.地下水均衡值 B.径流模数 C.入渗系数 D.平均渗透流速
标准答案: d
57、 采用因果关系分析网络来解释和描述拟建项目的各项活动和环境要素之间的关系以识别环境影响,此方法称()。
A.清单法 B.影响网络法 C.矩阵法 D.叠图法
标准答案: b
58、 水域底质的调查主要调查与建设项目排水水质有关的易()的污染物。
A.积累 B.降解 C.中毒 D.传染
标准答案: a
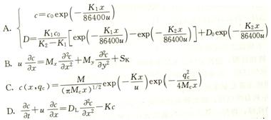
59、 Streeter--Phelps模式是()。

标准答案: a
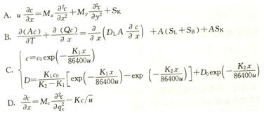
60、 河流的一维稳态水质模式为()。

标准答案: b